China Plastics ›› 2025, Vol. 39 ›› Issue (9): 7-11.DOI: 10.19491/j.issn.1001-9278.2025.09.002

• Materials and Properties • Previous Articles     Next Articles

Study on visco⁃elastic⁃plastic deformation of PE⁃UHMW under thermal⁃mechanical coupling

NIU Kai1(), ZHANG Run1(), LIU Mingfei1, FU Chenchao1, XUE Ping1, WU Jiajun2   

  1. 1.College of Mechanical and Electrical Engineering,Beijing University of Chemical Technology,Beijing 100029,China
    2.College of Engineering,Shantou University,Shantou 515063,China
  • Received:2024-10-14 Online:2025-09-26 Published:2025-09-22

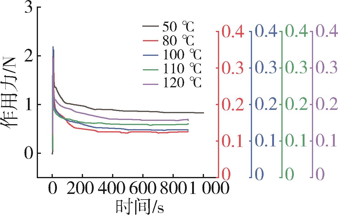
Abstract:

In this study, the visco⁃elastic⁃plastic deformation behavior of ultra⁃high⁃molecular⁃weight polyethylene (PE⁃UHMW) were systematically investigated under thermo⁃mechanical coupling conditions. Through comprehensive mechanical characterization including elastic modulus measurements, creep tests, and stress relaxation analysis, the temperature⁃dependent evolutions of key parameters, including tensile modulus, viscosity coefficient, and relaxation time, were quantified. Experimental results indicated a significant thermo⁃sensitive behavior, with the tensile modulus decreasing from 134.26 to 20.96 MPa, viscosity coefficient from 325.61 to 224.66 GPa·s, and relaxation time from 937.83 to 830.29 s as temperature increased from 50 to 120 °C. A novel parallel physical model combining spring, Kelvin, and viscous pot elements was developed to accurately describe the deformation mechanisms under constant strain conditions. This model provides fundamental insights into the complex visco⁃elastic⁃plastic behavior of PE⁃UHMW, establishing quantitative relationships between thermal conditions and mechanical response.

Key words: ultra?high?molecular?weight polyethylene, visco?elastic?plastic deformation, creep strain, stress relaxation

CLC Number: