京ICP备13020181号-2
© 《China Plastics》
© 《China Plastics》
China Plastics ›› 2025, Vol. 39 ›› Issue (12): 56-63.DOI: 10.19491/j.issn.1001-9278.2025.12.010
• Materials and Properties • Previous Articles Next Articles
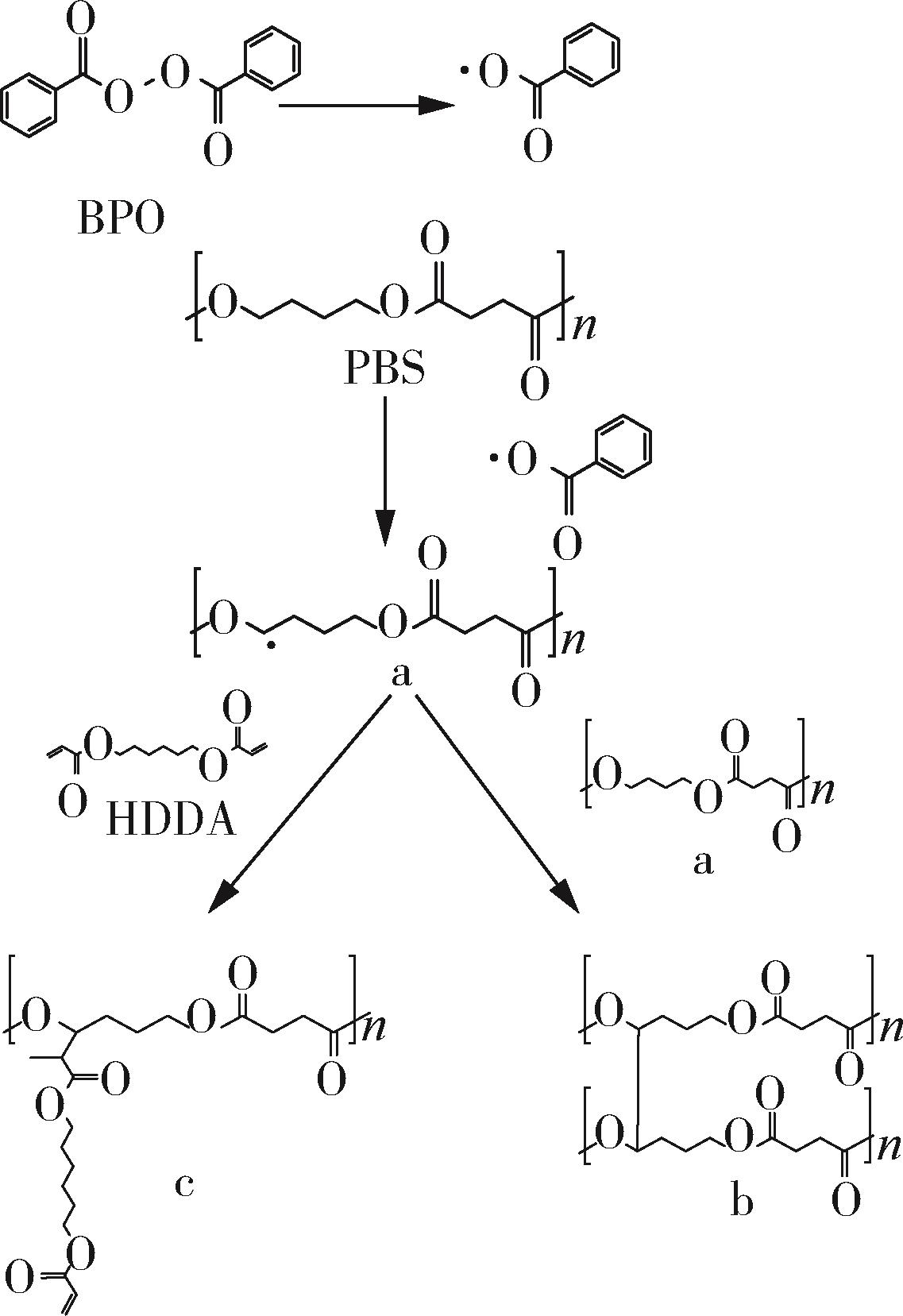
KE Junmu(
), LIN Yuanzhi, SU Yuhang, YU Li, HUANG Yifei, WU Binglin, YANG Wenqing(
)
Received:2024-12-30
Online:2025-12-26
Published:2025-12-22
CLC Number:
KE Junmu, LIN Yuanzhi, SU Yuhang, YU Li, HUANG Yifei, WU Binglin, YANG Wenqing. Effect of initiator on the structure and properties of PBS⁃g⁃HDDA[J]. China Plastics, 2025, 39(12): 56-63.
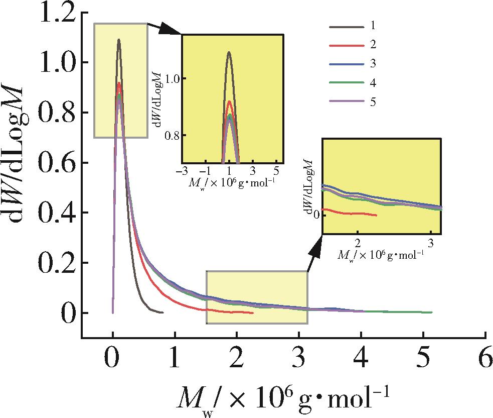
| 样品 | Mn/g • mol-1 | Mw/g • mol-1 | Mz/g • mol-1 | PDI |
|---|---|---|---|---|
| 1 | 34 626 | 98 682 | 168 893 | 2.850 |
| 2 | 33 237 | 137 309 | 337 446 | 4.131 |
| 3 | 45 376 | 196 134 | 789 229 | 4.322 |
| 4 | 44 825 | 184 921 | 724 509 | 4.125 |
| 5 | 34 618 | 185 218 | 714 142 | 5.350 |
| 样品 | Mn/g • mol-1 | Mw/g • mol-1 | Mz/g • mol-1 | PDI |
|---|---|---|---|---|
| 1 | 34 626 | 98 682 | 168 893 | 2.850 |
| 2 | 33 237 | 137 309 | 337 446 | 4.131 |
| 3 | 45 376 | 196 134 | 789 229 | 4.322 |
| 4 | 44 825 | 184 921 | 724 509 | 4.125 |
| 5 | 34 618 | 185 218 | 714 142 | 5.350 |
| 样品 | Tc/℃ | Tm⁃i/℃ | Tm⁃ii/℃ | ΔHm/J·g-1 | ΔHc/J·g-1 | Xc/% |
|---|---|---|---|---|---|---|
| 1 | 71.1 | - | 113.5 | -61.42 | 77.14 | 55.68 |
| 2 | 77.9 | - | 113.1 | -58.58 | 64.91 | 53.11 |
| 3 | 86.5 | 105.9 | 113.5 | -56.03 | 48.59 | 50.80 |
| 4 | 87.1 | 106.2 | 113.1 | -56.69 | 46.57 | 51.40 |
| 5 | 87.1 | 106.9 | 113.2 | -56.21 | 47.61 | 50.96 |
| 样品 | Tc/℃ | Tm⁃i/℃ | Tm⁃ii/℃ | ΔHm/J·g-1 | ΔHc/J·g-1 | Xc/% |
|---|---|---|---|---|---|---|
| 1 | 71.1 | - | 113.5 | -61.42 | 77.14 | 55.68 |
| 2 | 77.9 | - | 113.1 | -58.58 | 64.91 | 53.11 |
| 3 | 86.5 | 105.9 | 113.5 | -56.03 | 48.59 | 50.80 |
| 4 | 87.1 | 106.2 | 113.1 | -56.69 | 46.57 | 51.40 |
| 5 | 87.1 | 106.9 | 113.2 | -56.21 | 47.61 | 50.96 |
| [1] | 文麒霖, 贾雪化, 孙炎君, 等. 生物可降解塑料包装薄膜的制备及应用进展[J]. 中国塑料, 2024, 38(9): 112⁃122. |
| WEN Q L, JIA X H, SUN Y J, et al. Research progress in preparation and applications of biodegradable plastic packaging films[J]. China Plastics, 2024, 38(9): 112⁃122. | |
| [2] | Hu C, Bourbigot S, Delaunay T, et al. Synthesis of isosorbide based flame retardants: Application for polybutylene succinate[J]. Polymer Degradation and Stability, 2019, 164: 9⁃17. |
| [3] | 王灿, 张梦茹, 肖汪洋, 等. 支化聚丁二酸丁二醇酯的合成及流变性能[J]. 高分子材料科学与工程, 2024. |
| WANG C, ZHANG M R, XIAO W Y, et al. Synthesis and rheological properties of branched poly(butylene succinate) [J]. Polymer Materials Science & Engineering, 2024. | |
| [4] | 曹果果, 李栋辉, 欧阳文宜, 等. 高熔体强度聚合物的制备与表征研究进展[J]. 胶体与聚合物, 2017, 35(3):132⁃135. |
| CAO G G, LI D H, OUYANG W Y, et al. Progress of preparation and characterization of high melt strength polymer[J]. Chinese Journal of Colloid & Polymer, 2017, 35(3):132⁃135. | |
| [5] | 卢宇源, 安立佳, 王 健, 等. 高分子黏弹性的经典唯象模型[J].高分子学报, 2016,(6):688⁃697. |
| LU Y Y, AN L J, WANG J, et al. Classical Phenomenological Models of Polymer Viscoelasticity[J]. Acta Polymerica Sinica, 2016, (6):688⁃697. | |
| [6] | 李柯燃, 杨 锋, 向 明. 控制聚乙烯熔融接枝马来酸酐副反应的研究进展[J]. 合成树脂及塑料, 2012, 29(3):72⁃84. |
| LI K R, YANG F, XIANG M. Progress of research into side reaction control of polyethylene grafted by maleic anhydride via melt extrusion[J]. China Synthetic Resin and Plastics, 2012, 29(3):72⁃84. | |
| [7] | 林剑英, 张华集, 张 雯. 提高聚丙烯熔体强度的研究进展[J]. 高分子通报, 2010(1): 63⁃68. |
| LIN J Y, ZHANG H J, ZHANG W. Research development in improving melt strength of polypropylene[J]. Polymer Bulletin, 2010, (1): 63⁃68. | |
| [8] | 王崇. 反应挤出制备高熔体强度聚乳酸及性能表征[D]. 湘潭大学,2019. |
| [9] | Vandesteene M, Jacquel N, Saint⁃Loup R, et al. Synthesis of branched poly(butylene succinate): Structure properties relationship[J]. Chinese Journal of Polymer Science, 2016, 34(7): 873⁃888. |
| [10] | 黄辰昊, 宋 力, 苏婷婷, 等. 聚丁二酸己二酸丁二醇酯的合成与表征[J]. 中国塑料, 2023, 37(5):34⁃39. |
| HUANG C H, SONG L, SU T T, et al. Synthesis and characterizations of poly (butylene succinate⁃co⁃butylene adipate)[J].China Plastics, 2023, 37(5):34⁃39. | |
| [11] | Bourg V, Valette R, Le Moigne N, et al. Shear and Extensional Rheology of Linear and Branched Polybutylene Succinate Blends[J]. Polymers, 2021, 13(4): 652. |
| [12] | 吴天赐. 改性PBS发泡材料的制备及性能研究[D]. 天津科技大学, 2021. |
| [13] | Suwanniroj Anothai, Suppakarn Nitinat. Influence of glycidyl methacrylate grafted poly (butylene succinate) ( PBS⁃g‐GMA ) on flame retardancy and mechanical properties of water hyacinth fiber/ammonium polyphosphate/poly (butylene succinate) composites[J]. Journal of Applied Polymer Science, 2022, 139(43): 1⁃15. |
| [14] | 曹溪微, 黄 剑, 孙晓民, 等. 扭矩法测定聚烯烃的熔体强度[J]. 化工管理, 2018(20): 225⁃227. |
| [15] | 殷敬华, 郑安呐, 盛 京, 等. 高分子材料的反应加工[M]. 科学出版社, 2008. |
| [16] | 张 阳, 廖 壑, 张 玥, 等. 基于结晶动力学研究聚丁二酸丁二醇酯/微晶纤维素弱界面相互作用对其结晶行为的影响[J]. 复合材料学报, 2024, 41(5):2 355⁃2 363. |
| ZHANG Y, LIAO H, ZHANG Y, et al. Effect of weak interfacial interaction between poly(butylene succinate) and micro crystalline cellulose on its crystallization behavior based on crystallization kinetics[J]. Acta Materiae Compositae Sinica,2024, 41(5):2 355⁃2 363. | |
| [17] | 何曼君, 张红东, 陈维孝, 等..高分子物理[M].上海:复旦大学出版社,2009:172⁃173. |
| [18] | Zhou X xian, Dou Q. Preparation of Poly(Butylene Succinate)/Soy Protein Isolate Bio⁃Composites by Reactive Compatibilization with Peroxide and Acrylate[J]. Journal of Polymers and the Environment, 2022, 30(5): 1 847⁃1 863. |
| [19] | Tian Y P, Wu T, Meng X, et al. Thermodynamic Features of Extended⁃Chain Crystals of Poly(butylene succinate) and Its Random Copolymers with Adipic Acid[J]. Macromolecules, 2022, 55(13): 5 669⁃5 674. |
| [20] | Wu S, Zhang Y, Han J, et al. Copolymerization with Polyether Segments Improves the Mechanical Properties of Biodegradable Polyesters[J]. ACS Omega, 2017, 2(6): 2639⁃2648. |
| [21] | Li Y, Huang G, Chen C, et al. Poly(butylene succinate⁃co⁃butylene acetylenedicarboxylate): Copolyester with Novel Nucleation Behavior[J]. Polymers, 2021, 13(3): 365. |
| Viewed | ||||||
|
Full text |
|
|||||
|
Abstract |
|
|||||