China Plastics ›› 2025, Vol. 39 ›› Issue (12): 39-45.DOI: 10.19491/j.issn.1001-9278.2025.12.007

• Materials and Properties • Previous Articles     Next Articles

Preparation and performance of a soybean oil⁃based polyurethane coating for ships

LIU Yunxue(), SHI Xifan, FAN Zhaorong, GU Yaxin, LI Xiangyu, WANG Xiaodan   

  1. College of Materials Science and Engineering,Shenyang Jianzhu University,Shenyang 110168,China
  • Received:2025-01-25 Online:2025-12-26 Published:2025-12-22

Abstract:

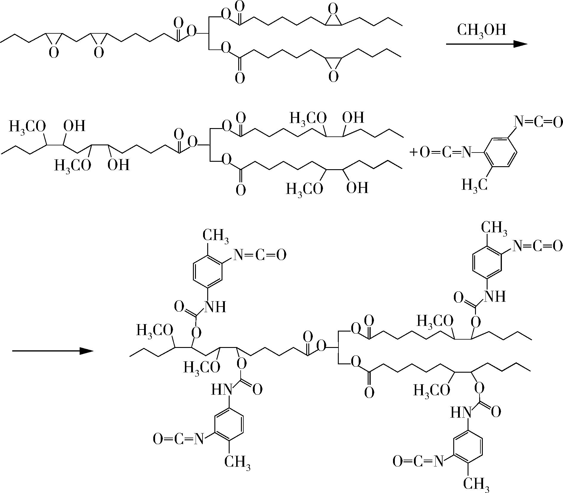
A soybean oil⁃based polyurethane prepolymer was synthesized by first reacting epoxidized soybean oil with methanol catalyzed by tetrafluoroboric acid, followed by reaction with 2,4⁃toluene diisocyanate. The chemical structure of the prepolymer was confirmed by Fourier⁃transform infrared spectroscopy. Coatings were prepared by applying the prepolymer onto tinplate substrates and curing at room temperature for seven days. The effects of the —NCO to —OH molar ratio (R value) and reaction conditions on the coating properties, including contact angle, physical properties, and corrosion resistance, were investigated. Results indicated that the coating prepared with an R value of 2∶1, a reaction temperature of 70~75 ℃, and a reaction time of 2 h exhibited the optimal comprehensive performance.

Key words: soybean oil polyol, polyurethane, coating, performance

CLC Number: