京ICP备13020181号-2
© 《China Plastics》
© 《China Plastics》
China Plastics ›› 2025, Vol. 39 ›› Issue (10): 105-112.DOI: 10.19491/j.issn.1001-9278.2025.10.017
• Plastic and Environment • Previous Articles
PANG Yue, FU Ye(
), WENG Yunxuan
Received:2024-10-28
Online:2025-10-26
Published:2025-10-21
CLC Number:
PANG Yue, FU Ye, WENG Yunxuan. Progress in biodegradation of poly(butylene adipate⁃co⁃terephthalate)[J]. China Plastics, 2025, 39(10): 105-112.
| 种类 | 菌名 | 来源 | 降解能力 | 菌株特性 | 参考文献 |
|---|---|---|---|---|---|
| 细菌 | Pseudomonas knackmussii N1⁃2 | 陕西省杨凌示范区曹新庄生活垃圾填埋场 | 8周 6.49 %±0.01 % | 分泌脂肪酶,淀粉酶 | [ |
| Pseudomonas nitroreducens D4⁃2 | 8周 5 %左右 | 分泌脂肪酶,淀粉酶,过氧化氢酶 | |||
| Pseudomonas aeruginosa RD1⁃3 | 8周 6.88 %±0.06 % | 分泌脲酶,酪蛋白酶,漆酶A,漆酶B,脂肪酶,过氧化氢酶,淀粉酶,产生硫化氢 | |||
| Klebsiella pneumoniae N3⁃2 | 8周 6.54 %±0.09 % | 分泌脂肪酶,淀粉酶,脲酶 | |||
| Stenotrophomonas acidaminiphila D5⁃3 | 8周 5 %左右 | 分泌脂肪酶,淀粉酶,漆酶A,过氧化氢酶 | |||
| Chryseobacterium gallinarum D2⁃1 | 8周 5 %左右 | 分泌脂肪酶,淀粉酶,脲酶,过氧化氢酶 | |||
| Peribacillus frigoritolerans S2313 | 新疆石河子市农用棉田土壤 | 8周 12.45 % | 8周降解速率大幅增加 | [ | |
| Bacillus SUST B1 | 陕西元家村农田土壤 | 12天 8 % | 分泌脂肪酶 | [ | |
| Bacillus SUST B2 | 12天 10.5 % | ||||
| Bacillus SUST B3 | 12天 9 % | ||||
| Delftia tsuruhatensis | 新疆棉花种植地 | 7天 6.87 % | 分泌脂肪酶,过氧化氢酶 | [ | |
| Actinobacteria Rhodococcus NKCM 2511 | 土壤 | 20天 9 % | 在中温条件下降解PBAT的放线菌 | [ | |
| Thermomonospora fusca K13g | 堆肥厂 | 7天 高达90 % | 在高温条件下快速降解PBAT | [ | |
| Thermomonospora fusca K7a⁃3 | |||||
| Thermobifida fusca FXJ-1 | 堆肥厂 | 9天 82.87 %±1.01 % | 产生蛋白酶,淀粉酶,纤维素酶 | [ | |
| Thermomonospora fusca | 堆肥厂 | 22天 超过99.9 % | 在高温条件下快速降解PBAT | [ | |
| Pelosinus fermentans DSM 17108 | 地下水 | - | 分泌脂肪酶PfL1和α/β水解酶 | [ | |
| Roseibium aggregatum ZY⁃1 | 海水 | 40天 7.81 %±1.51 % | 海水中分离的PBAT降解菌 | [ | |
| Marinomonas | 海水 | 80天 12.4 %±2.5 % | 在PBAT表面形成微生物膜 | [ | |
| Alternaria alternata FB1 | 海水 | 30天后几乎无碎片 | 高效降解PBAT | [ | |
| 真菌 | aspergillus ochraceus F 52 | 中欧环境样本 | - | 能产生对PBAT有水解活性的酶 | [ |
| aspergillus westerdijkiar F 62 | |||||
| lanatonectria sp. F 44 | |||||
| Aspergillus sp | - | 30天 1.04 % | 可以降解PBAT | [ | |
| Penicillium sp. | 30天 2.32 % | ||||
| Purpureocillium lilacinum BA1S | 农田土壤 | 30天 约15 % | PBAT诱导其产生脂肪酶 | [ |
| 种类 | 菌名 | 来源 | 降解能力 | 菌株特性 | 参考文献 |
|---|---|---|---|---|---|
| 细菌 | Pseudomonas knackmussii N1⁃2 | 陕西省杨凌示范区曹新庄生活垃圾填埋场 | 8周 6.49 %±0.01 % | 分泌脂肪酶,淀粉酶 | [ |
| Pseudomonas nitroreducens D4⁃2 | 8周 5 %左右 | 分泌脂肪酶,淀粉酶,过氧化氢酶 | |||
| Pseudomonas aeruginosa RD1⁃3 | 8周 6.88 %±0.06 % | 分泌脲酶,酪蛋白酶,漆酶A,漆酶B,脂肪酶,过氧化氢酶,淀粉酶,产生硫化氢 | |||
| Klebsiella pneumoniae N3⁃2 | 8周 6.54 %±0.09 % | 分泌脂肪酶,淀粉酶,脲酶 | |||
| Stenotrophomonas acidaminiphila D5⁃3 | 8周 5 %左右 | 分泌脂肪酶,淀粉酶,漆酶A,过氧化氢酶 | |||
| Chryseobacterium gallinarum D2⁃1 | 8周 5 %左右 | 分泌脂肪酶,淀粉酶,脲酶,过氧化氢酶 | |||
| Peribacillus frigoritolerans S2313 | 新疆石河子市农用棉田土壤 | 8周 12.45 % | 8周降解速率大幅增加 | [ | |
| Bacillus SUST B1 | 陕西元家村农田土壤 | 12天 8 % | 分泌脂肪酶 | [ | |
| Bacillus SUST B2 | 12天 10.5 % | ||||
| Bacillus SUST B3 | 12天 9 % | ||||
| Delftia tsuruhatensis | 新疆棉花种植地 | 7天 6.87 % | 分泌脂肪酶,过氧化氢酶 | [ | |
| Actinobacteria Rhodococcus NKCM 2511 | 土壤 | 20天 9 % | 在中温条件下降解PBAT的放线菌 | [ | |
| Thermomonospora fusca K13g | 堆肥厂 | 7天 高达90 % | 在高温条件下快速降解PBAT | [ | |
| Thermomonospora fusca K7a⁃3 | |||||
| Thermobifida fusca FXJ-1 | 堆肥厂 | 9天 82.87 %±1.01 % | 产生蛋白酶,淀粉酶,纤维素酶 | [ | |
| Thermomonospora fusca | 堆肥厂 | 22天 超过99.9 % | 在高温条件下快速降解PBAT | [ | |
| Pelosinus fermentans DSM 17108 | 地下水 | - | 分泌脂肪酶PfL1和α/β水解酶 | [ | |
| Roseibium aggregatum ZY⁃1 | 海水 | 40天 7.81 %±1.51 % | 海水中分离的PBAT降解菌 | [ | |
| Marinomonas | 海水 | 80天 12.4 %±2.5 % | 在PBAT表面形成微生物膜 | [ | |
| Alternaria alternata FB1 | 海水 | 30天后几乎无碎片 | 高效降解PBAT | [ | |
| 真菌 | aspergillus ochraceus F 52 | 中欧环境样本 | - | 能产生对PBAT有水解活性的酶 | [ |
| aspergillus westerdijkiar F 62 | |||||
| lanatonectria sp. F 44 | |||||
| Aspergillus sp | - | 30天 1.04 % | 可以降解PBAT | [ | |
| Penicillium sp. | 30天 2.32 % | ||||
| Purpureocillium lilacinum BA1S | 农田土壤 | 30天 约15 % | PBAT诱导其产生脂肪酶 | [ |
| 酶 | 来源 | 最适温度 | 降解能力 | 酶特性 | 参考文献 |
|---|---|---|---|---|---|
| PaE | the leaf surface yeast Pseudozyma antarctica | 30 ℃ | 2.3 mg/h | 随机切割聚合物链并诱导表面侵蚀 | [ |
| CALB | Candida antarctica | 45 ℃ | 12天 15.7 % | 可以高效降解PBAT的脂肪酶 | [ |
| TfH | Thermobifida fusca | 65 ℃ | - | 可以作用于降解过程中所有酯键 | [ |
| Tcca | Thermobacillus composti KWC4 | 40 ℃ | - | 可以降解PBAT的羧酸酶 | [ |
| Est B3 | Sphagnum magellanicum | 48 ℃ | - | 对芳香酯键有良好的水解能力 | [ |
| Est C7 | 50 ℃ | ||||
| PpEst | Pseudomonas pseudoalcaligenes | 65 ℃ | 22 mol TPA/PpEst | 会被BuTA抑制 | [ |
| Ple628 | the marine microbial consortium I1 | 30 ℃ | 72 h产生小于50 µM TPA | 抑制水解产物 | [ |
| Ple629 | 72 h产生(265.9±4.2) µM TPA | ||||
| Novozym 51032 | - | - | - | 作用于PBAT软段 | [ |
| g7566.t1、g2279.t1、g6274.t1、g1109.t1、g7569.t1 | Knufia chersonesos | 50 ℃ | 14天产生134 µM TPA | 对PBAT及其水解产物具有良好的水解能力 | [ |
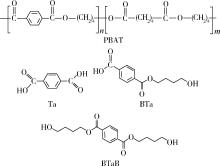
| TfCut | Thermobifida fusca | 65 ℃ | 48 h后几乎无碎片 | 水解产生TPA、BTa、ABTa、TaBTa等中间产物 | [ |
| Mle046 | Ideonella sakaiensis | 30 ℃ | - | 被高浓度水解产物如TPA抑制 | [ |
| 酶 | 来源 | 最适温度 | 降解能力 | 酶特性 | 参考文献 |
|---|---|---|---|---|---|
| PaE | the leaf surface yeast Pseudozyma antarctica | 30 ℃ | 2.3 mg/h | 随机切割聚合物链并诱导表面侵蚀 | [ |
| CALB | Candida antarctica | 45 ℃ | 12天 15.7 % | 可以高效降解PBAT的脂肪酶 | [ |
| TfH | Thermobifida fusca | 65 ℃ | - | 可以作用于降解过程中所有酯键 | [ |
| Tcca | Thermobacillus composti KWC4 | 40 ℃ | - | 可以降解PBAT的羧酸酶 | [ |
| Est B3 | Sphagnum magellanicum | 48 ℃ | - | 对芳香酯键有良好的水解能力 | [ |
| Est C7 | 50 ℃ | ||||
| PpEst | Pseudomonas pseudoalcaligenes | 65 ℃ | 22 mol TPA/PpEst | 会被BuTA抑制 | [ |
| Ple628 | the marine microbial consortium I1 | 30 ℃ | 72 h产生小于50 µM TPA | 抑制水解产物 | [ |
| Ple629 | 72 h产生(265.9±4.2) µM TPA | ||||
| Novozym 51032 | - | - | - | 作用于PBAT软段 | [ |
| g7566.t1、g2279.t1、g6274.t1、g1109.t1、g7569.t1 | Knufia chersonesos | 50 ℃ | 14天产生134 µM TPA | 对PBAT及其水解产物具有良好的水解能力 | [ |
| TfCut | Thermobifida fusca | 65 ℃ | 48 h后几乎无碎片 | 水解产生TPA、BTa、ABTa、TaBTa等中间产物 | [ |
| Mle046 | Ideonella sakaiensis | 30 ℃ | - | 被高浓度水解产物如TPA抑制 | [ |
| [1] | 大家都来了解生物降解塑料[J].绿色包装,2020(11):90⁃92. |
| [2] | 侯冠一,翁云宣,刁晓倩,等.生物降解塑料产业现状与未来发展[J].中国材料进展,2022,41(1):52⁃67. |
| HOU G Y, WENG Y X, DIAO X Q, et al. The current development situation and future development of biodegradable plastic industry[J]. Materials China, 2022, 41(1): 52⁃65. | |
| [3] | 尹 爽,梁伟杰,陈沛嘉,等.聚己二酸丁二醇酯⁃共对苯二甲酸酯基可降解塑料改性研究进展[J].化工进展,2022,41(S1):307⁃317. |
| YIN S, LIANG W J, CHEN P J, et al. Research progress on mo⁃dification of PBAT⁃base biodegradable plastics[J]. Chemical Industry and Engineering Progress, 2022, 41(S1): 291⁃301. | |
| [4] | Roy Swarup, Ghosh Tabli, Zhang Wanli, et al. Recent progress in PBAT⁃based films and food packaging applications: a mini⁃review[J]. Food Chemistry,2024,437:137822. |
| [5] | Ji Sou Lyu, Han Jaejoon. Scale⁃up fabrication of a biodegradable PBAT/PLA composite film compatibilized with a chain extender for industrial agricultural mulch film application[J]. Composites Part C: Open Access,2023,12:100397. |
| [6] | Yang Zhao, Lai Jinqing, Huang Ya, et al. Effect of molding on the structure and properties of poly(butylene adipate⁃co⁃terephthalate)/poly(propylene carbonate)/organically modified montmorillonite nanocomposites[J]. Applied Clay Science,2023,234:106854. |
| [7] | Ran Lanbin, Hong Weiyouran, Yu Guiying, et al. Preparation and improving mechanism of PBAT/PPC⁃based micro⁃layer biodegradable mulch film with excellent water resistance and mechanical properties[J]. Polymer,2024,291:126614. |
| [8] | 金芳羽,李梦娟,王清清.废弃聚酯化学法再利用的进展[J].塑料,2022,51(4):136⁃141.\ |
| JIN F Y, LI M J, WANG Q Q,et al.Progress in reuse of waste polyester chemical methods[J]. Plastics, 2022, 51(4): 136⁃141. | |
| [9] | 姜 涛,蔡宇凌,周安展.聚酯回收再生产业绿色发展模型构建及实践[J].现代化工,2022,42(2):45⁃50. |
| JIANG T, CAI Y L, ZHOU A Z. Construction and practice of green development innovation model for spent polyester recycling industry[J]. Modern Chemical Industry, 2022, 42(2): 45⁃50. | |
| [10] | 刘彤瑶,辛 艺,刘杏忠,等.微生物降解塑料的研究进展[J].生物工程学报,2021,37(8):2 688⁃2 702. |
| LIU T Y, XIN Y, LIU X Z, et al. Advances in microbial degradation of plastics[J]. Chinese Journal of Biotechnology, 2021, 37(8): 2 688⁃2 702. | |
| [11] | Xu Meng‑Qi, Fei Pan, Peng Li⁃Hua, et al. Advances in the isolation, cultivation, and identifcation of gut microbes[J]. Military Medical Research,2024,11:34. |
| [12] | 刘佳茜,侯丽君,刘婷婷,等.PBAT地膜降解菌的筛选及其降解特性研究[J].农业环境科学学报,2021,40(1):129⁃136. |
| LIU J X, HOU L J, LIU T T, et al. Isolation of PBAT plastic-degrading bacteria and their degradation characteristics[J]. Journal of Agro⁃Environment Science, 2021, 40(1): 129⁃136. | |
| [13] | Wufuer Rehemanjiang, Li Wenfeng, Wang Shuzhi, et al. Isolation and degradation characteristics of PBAT film degrading bacteria[J]. International Journal of Environmental Research and Public Health, 2022,19:17087. |
| [14] | kanwal Aqsa, Min Zhang, Sharaf Faisal, et al. Screening and characterization of novel lipase producing Bacillus species from agricultural soil with high hydrolytic activity against PBAT poly (butylene adipate co terephthalate) co⁃polyesters[J]. Polymer Bulletin, 2022,79:10 053⁃10 076. |
| [15] | 张 敏,贾 昊,翁云宣,等. 聚乳酸/聚己二酸⁃对苯二甲酸丁二酯对土壤细菌群落结构的影响及其降解菌的筛选[J]. 微生物学通报,2020,47(2):420⁃430. |
| ZHANG M, JIA H, WENG Y X,et al.Effects of polylactide/polybutylene adipate⁃co⁃terephthalate on bacterial community structure of soil and isolation of degrading bacteria[J]. Microbiology China, 2020, 47(2): 420⁃430. | |
| [16] | Soulenthone Phouvilay, Tachibana Yuya, Muroi umihiro, et al. Characterization of a mesophilic actinobacteria that degrades poly(butylene adipate⁃co⁃terephthalate)[J]. Polymer Degradation and Stability, 2020,181:109335. |
| [17] | Kleeberg Ilona, Hetz Claudia, Reiner Michael Kroppenstedt, et al. Biodegradation of aliphatic⁃aromatic copolyesters by thermomonospora fusca and other thermophilic compost isolates[J]. Applied and Environmental Microbiology, 1998;64(5):1 731⁃1 735. |
| [18] | Jia Xianbo, Ke Zhao, Zhao Jie, et al. Degradation of poly(butylene adipate⁃co⁃terephthalate) films by Thermobifida fusca FXJ-1 isolated from compost[J]. Journal of Hazardous Materials, 2023,441:129958. |
| [19] | Witt U, Einig T, Yamamoto M, et al. Biodegradation of aliphatic⁃aromatic copolyesters: evaluation of the final biodegradability and ecotoxicological impact of degradation intermediates[J]. Chemosphere, 2001,44(2):289⁃299. |
| [20] | Biundo Antonino, Hromic Altijana, Pavkov⁃Keller Tea, et al. Characterization of a poly(butylene adipate⁃co⁃terephthalate)⁃hydrolyzing lipase from Pelosinus fermentans [J]. Applied Microbiology and Biotechnology, 2016,100:1 753⁃1 764. |
| [21] | Pan Haixia, Yu Tianyi, Yuan Zheng, et al. Isolation, characteristics, and poly(butylene adipate⁃co⁃terephthalate) (PBAT) degradation mechanism of a marine bacteria Roseibium aggregatum ZY-1[J]. Marine Pollution Bulletin, 2024,201:116261. |
| [22] | Delacuvellerie Alice, Benali Samira, Cyriaque Valentine, et al. Microbial biofilm composition and polymer degradation of compostable and non⁃compostable plastics immersed in the marine environment[J]. Journal of Hazardous Materials, 2021,419:126526. |
| [23] | Fan Fei, Su Zhenjie, Rui Liu, et al. Efficient biodegradation of poly(butylene adipate⁃co⁃terephthalate) in mild temperature by cutinases derived from a marine fungus[J]. Journal of Hazardous Materials, 2024,480:136008. |
| [24] | Weinberger Simone, Beyer Reinhard, Schüller Christoph, et al. High throughput screening for new fungal polyester hydrolyzing enzymes[J]. Frontiers in Microbiology, 2020,11:554. |
| [25] | Thainá Araújo de Oliveira, Barbosa Renata, Avilnete B.S. Mesquita,et al. Fungal degradation of reprocessed PP/PBAT/thermoplastic starch blends[J]. Journal of Materials Research and Technology, 2020,9(2):2 338⁃2 349. |
| [26] | Tseng Wei⁃Sung, Lee Min⁃Jia, Wu Jin⁃An, et al. Poly(butylene adipate⁃co⁃terephthalate) biodegradation by Purpureocillium lilacinum strain BA1S[J]. Applied Microbiology and Biotechnology, 2023,107:6 057⁃6 070. |
| [27] | Šerá Jana, Kadlečková Markéta, Fayyazbakhsh Ahmad, et al. Occurrence and analysis of thermophilic poly(butylene adipate⁃co⁃terephthalate)⁃degrading microorganisms in temperate zone soils[J]. International Journal of Molecular Sciences, 2020,21:7 857. |
| [28] | Quartinello Felice, Kremser Klemens, Schoen Herta, et al. Together is better: the rumen microbial community as biological toolbox for degradation of synthetic polyesters[J]. Frontiers in Bioengineering and Biotechnology, 2021,9:684459. |
| [29] | Ju Zhicheng, Du Xiongfeng, Feng Kai, et al. The succession of bacterial community attached on biodegradable plastic mulches during the degradation in soil[J]. Frontiers in Microbiology, 2021,12:785737. |
| [30] | Jacquin Justine, Callac Nolwenn, Cheng Jingguang, et al. Microbial diversity and activity during the biodegradation in seawater of various substitutes to conventional plastic cotton swab sticks[J]. Frontiers in Microbiology, 2021,15:604395. |
| [31] | Rüthi Joel, Bölsterli Damian, Pardi⁃Comensoli Lucrezia, et al. The “Plastisphere” of biodegradable plastics is characterized by specific microbial taxa of alpine and arctic soils[J]. Frontiers in Environmental Science, 2020,8:562263. |
| [32] | Tang Qiuxiang, Tao Lin, Sun Zhanbin, et al. Effects of mulching film on soil microbial diversity and community of cotton[J]. AMB Express, 2022,12:33. |
| [33] | Ali Sameh S., Elsamahy Tamer, Al⁃Tohamy Rania,et al. Plastic wastes biodegradation: Mechanisms, challenges and future prospects[J]. Science of the Total Environment, 2021,780:146590. |
| [34] | Kitamoto Hiroko, Koitabashi Motoo, Sameshima⁃Yamashita Yuka, et al. Accelerated degradation of plastic products via yeast enzyme treatment[J]. Scientifc Reports, 2023,13:2386. |
| [35] | Kanwal Aqsa, Min Zhang, Sharaf Faisal, et al. Enzymatic degradation of poly (butylene adipate co⁃terephthalate) (PBAT) copolymer using lipase B from Candida antarctica (CALB) and effect of PBAT on plant growth[J]. Polymer Bulletin, 2022,79:9 059⁃9 073. |
| [36] | Kleeberg I, Welzel K, VandenHeuvel J, et al. Characterization of a new extracellular hydrolase from thermobifida fusca degrading aliphatic⁃aromatic copolyesters[J]. Biomacromolecules, 2005,6:262⁃270. |
| [37] | Pan Wu, Li Zhishuai, Jian Gao, et al. Characterization of a PBAT Degradation Carboxylesterase from Thermobacillus composti KWC4[J]. Catalysts 2023,13:340. |
| [38] | Christina Andrea Müller, Perz Veronika, Provasnek Christoph, et al. Discovery of polyesterases from moss⁃associated microorganisms[J]. Applied and Environmental Microbiology, 2017,83(4):e02641⁃16. |
| [39] | Wallace Paal W, Haernvall Karolina, Ribitsch Doris, et al. PpEst is a novel PBAT degrading polyesterase identified by proteomic screening of Pseudomonas pseudoalcaligenes[J]. Appl Microbiol Biotechnol, 2017,101:2 291⁃2 303. |
| [40] | Ingrid E Meyer Cifuentes, Pan Wu, Zhao Yipei, et al. Molecular and biochemical differences of the tandem and cold⁃adapted PET hydrolases Ple628 and Ple629, isolated from a marine microbial consortium[J]. Frontiers in Bioengineering and Biotechnology, 2022,10:930140. |
| [41] | Seyed Mohammad Davachi, Mokhtare Amir, Torabi Hooman, et al. Screening the degradation of polymer microparticles on a chip[J]. ACS Omega, 2023,8:1 710⁃1 722. |
| [42] | DonatellaTesei, Quartinello Felice, Guebitz Georg M, et al. Shotgun proteomics reveals putative polyesterases in the secretome of the rock⁃inhabiting fungus Knufa chersonesos [J]. Scientific Reports, 2020,10:9 770. |
| [43] | Yu Yang, Jian Min, Ting Xue, et al. Complete bio⁃degradation of poly(butylene adipate⁃co⁃terephthalate) via engineered cutinases[J]. Nature Communications, 2023,14:1 645. |
| [44] | Ingrid E. Meyer⁃Cifuentes, Başak Öztürk. Mle046 is a marine mesophilic MHETase⁃like enzyme[J]. Frontiers in Microbiology, 2021,12:693985. |
| [45] | Patrícia Moraes Sinohara Souza, Ana Rita Morales, Elisabete Maria Saraiva Sanchez, et al. Study of PBAT photostabilization with ultraviolet absorber in combination with hindered amine light stabilizer and vitamin E, aiming mulching film application[J]. Journal of Polymers and the Environment, 2018,26:3 422⁃3 436. |
| [46] | Zhang Haixin, Huang Yimei, An Shaoshan, et al. Mulch⁃derived microplastic aging promotes phthalate esters and alters organic carbon fraction content in grassland and farmland soils[J]. Journal of Hazardous Materials, 2024,461:132619. |
| [47] | Kijchavengkul Thitisilp, Auras Rafael, Rubino Maria, et al. Biodegradation and hydrolysis rate of aliphatic aromatic polyester[J]. Polymer Degradation and Stability, 2010,95:2 641⁃2 647. |
| [48] | Michael Thomas Zumstein, Schintlmeister Arno, Taylor Frederick Nelson, et al. Biodegradation of synthetic polymers in soils: Tracking carbon into CO2 and microbial biomass[J]. Science Advances, 2018,4:eaas9024. |
| [49] | Dissanayake Lakshika, Jayakody Lahiru N. Engineering microbes to bio⁃upcycle polyethylene terephthalate[J]. Frontiers in Bioengineerig and Biotechnology, 2021,9:656465. |
| [50] | Rui Gao, Pan Haojie, Lei Kai, et al. Microbial degradation and valorization of poly(ethylene terephthalate) (PET) monomers[J]. World Journal of Microbiology and Biotechnology, 2022,38:89. |
| [51] | Urbanek Aneta K, Katarzyna E Kosiorowska, Mirończuk Aleksandra M. Current knowledge on polyethylene terephthalate degradation by genetically modified microorganisms[J]. Frontiers in Bioengineering and Biotechnology, 2021,9:771133. |
| [52] | 金玉凤,邱佳容,张良清,等. 聚对苯二甲酸乙二醇酯生物降解的研究进展[J]. 生物工程学报,2023, 39(11): 4 445⁃4 462. |
| JIN Y F, QIU J R, ZHANG L Q,et al. Biodegradation of polyethylene terephthalate: a review[J]. Chinese Journal of Biotechnology, 2023, 39(11): 4 445⁃4 462. | |
| [53] | Li WingJin, Narancic Tanja, Kenny Shane T, et al. Unraveling 1,4⁃butanediol metabolism in pseudomonas putida KT2440[J]. Frontiers in Bioengineering and Biotechnology, 2020,11:382. |
| [54] | Ackermann Yannic S, Li Wing⁃Jin, Leonie Op de Hipt,et al. Engineering adipic acid metabolism in Pseudomonas putida[J]. Metabolic Engineering, 2021,67:29⁃40. |
| [55] | Beagan Niall, Kevin E O’Connor, Ioscani Jimenez Del Val. Model⁃based operational optimisation of a microbial bioprocess converting terephthalic acid to biomass[J]. Biochemical Engineering Journal, 2020,158:107576. |
| [56] | Shen Chengfeng, Xue Zhao, Long Yuwei, et al. Approach for the low carbon footprint of biodegradable plastic PBAT: complete recovery of its every monomer via high⁃efficiency hydrolysis and separation[J]. ACS Sustainable Chem. Eng, 2023,11:2 005⁃2 013. |
| [57] | Zheng WeiZhen, Xiao Li, Jing Xie, et al. Closed⁃loop recycling of biodegradable poly(butylene adipate⁃co⁃terephthalate) based on hydrolysis and repolymerization strategy[J]. Journal of Environmental Chemical Engineering, 2024,12:114353. |
| [58] | Pang Wenlong, Li Bin, Wu Yufeng, et al. Upgraded recycling of biodegradable PBAT plastic: Efficient hydrolysis and electrocatalytic conversion[J]. Chemical Engineering Journal, 2024,486:150342. |
| [59] | Parodi Adriano, Arpaia Vincenzo, Samorì Chiara, et al. Novel strategies for recycling poly(butylene adipate⁃co⁃terephthalate)⁃starch⁃based plastics: selective solubilization and depolymerization⁃repolymerization processes[J]. ACS Sustainable Chem. Eng, 2023,11:14 518⁃14 527. |
| [60] | Ismail Mohamed, Abouhmad Adel, Warlin Niklas, et al. Closing the loop for poly(butylene⁃adipate⁃co terephthalate) recycling: depolymerization, monomers separation, and upcycling[J]. The Royal Society of Chemistry, 2024,26:3 863⁃3 873. |
| [1] | SUN Ying, BAI Lin, WANG Rong, WENG Yunxuan. Application progress of modified atmosphere packaging technology based on biopolyester materials in field of fruit/vegetable quality and safety [J]. China Plastics, 2025, 39(7): 121-129. |
| [2] | YAO Jianmin, BI Xinyuan, LI Ruizhen, YAO Yuanyuan, LIU Zhao, YANG Ruiping, JIANG Lina. Preparation and performance of ultra⁃thin fully biodegradable water⁃permeable mulching films [J]. China Plastics, 2025, 39(5): 95-100. |
| [3] | CHU Xingyu, FANG Fang, XU Runze, WANG Suna, CAO Jiashun. Research progress in biodegradation of polyhydroxyalkanoate (PHA) under different conditions [J]. China Plastics, 2025, 39(4): 84-91. |
| [4] | GAO Chengtao, XU Qiu, ZHANG Li, LI Jian, HUANG Wei, CHEN Jinsong, LIU Nan, HE Shengbao, CHEN Siyao, PAN Shouhui. Advancements in application of inorganic nanoparticles in biodegradable composites [J]. China Plastics, 2025, 39(1): 85-91. |
| [5] | ZHOU Ziyi, WANG Yangyang, SUN Tao, JIANG Wei, DONG Tungalag, YUN Xunyan. Properties and applications of poly(butylene adipate⁃co⁃terephthalate)⁃based self⁃regulating gas film [J]. China Plastics, 2024, 38(6): 31-38. |
| [6] | ZHANG Huafeng, TANG Yujing, YANG Qifan, LI Shuhong, WANG Xiangdong. Study on foaming behavior of PBAT/cellulose composites [J]. China Plastics, 2024, 38(6): 72-77. |
| [7] | ZHAO Xiaohong, LU Xin. Effect of starch modification on structure and properties of starch/PBAT/calcium carbonate composites [J]. China Plastics, 2024, 38(4): 40-46. |
| [8] | GUO Zhihao, FENG Tao, LI Ziyi, WANG Jing, WANG Bing, WANG Yihan, CAO Bowei. Moisture monitoring rule for plastic mixtures in plastic degradation tests [J]. China Plastics, 2024, 38(3): 94-100. |
| [9] | SUN Wenxiao, YANG Fan, HOU Mengzong, HE Dandan, WU Hui, LIU Qiang, ZHANG Hong. Microplastic pollution and degradation in environment [J]. China Plastics, 2023, 37(11): 117-126. |
| [10] | MA Guocheng, HE Zhen, CHEN Shaojun. Research progress in degradability of cellulose acetate [J]. China Plastics, 2022, 36(9): 111-121. |
| [11] | LIN Jianhui, LU Jiahui, WU Xinying, FAN Xueying, DENG Guirong, GAO Liang, MEI Chengfang, YANG Yonggang. Study of uncertainty evaluation in determination of ultimate aerobic biodegradability of degradable materials under controlled composting conditions [J]. China Plastics, 2022, 36(9): 140-147. |
| [12] | HE Xuetao, ZHANG Yi, MO Zhenyu, LI Changjin, WANG Shuo, YANG Weimin, LI Haoyi. Preparation process of PBAT fiber membrane by melt differential electrospinning [J]. China Plastics, 2022, 36(12): 1-5. |
| [13] | CHEN Xinqi, BAI Yun, LIU Shanshan, GAO Xia, LIU Weili, ZHANG Mei, WU Yuwei, HUANG Yan, ZHAO Hongliang. Determination of Polylactic Acid and Other Components in Biodegradable Plastics Using Quantitative 1H⁃NMR Method [J]. China Plastics, 2021, 35(8): 181-188. |
| [14] | Xiaoqian DIAO, Yunxuan WENG, Xinyu SONG, Yingxin ZHOU, Ye FU, Zhigang HUANG. Current Development Situation of Biodegradable Plastic Industry In China and Abroad [J]. China Plastics, 2020, 34(5): 123-135. |
| [15] | . Biodegradation Behavior of PLA/PBAT Blends [J]. China Plastics, 2016, 30(08): 79-86 . |
| Viewed | ||||||
|
Full text |
|
|||||
|
Abstract |
|
|||||