China Plastics ›› 2025, Vol. 39 ›› Issue (11): 32-40.DOI: 10.19491/j.issn.1001-9278.2025.11.006

• Materials and Properties • Previous Articles     Next Articles

Polyborosiloxane: advances and application

XIONG Yihuimeng1,2,3, QIAN Lijun1,2,3()   

  1. 1.School of Light Industry Science and Engineering,Beijing Technology and Business University,Beijing 100048,China
    2.China Light Industry Engineering Technology Research Center of Advanced Flame Retardants,Beijing 100048,China
    3.Petroleum and Chemical Industry Engineering Laboratory of Non?halogen Flame Retardants for Polymers,Beijing 100048,China
  • Online:2025-11-26 Published:2025-11-21

Abstract:

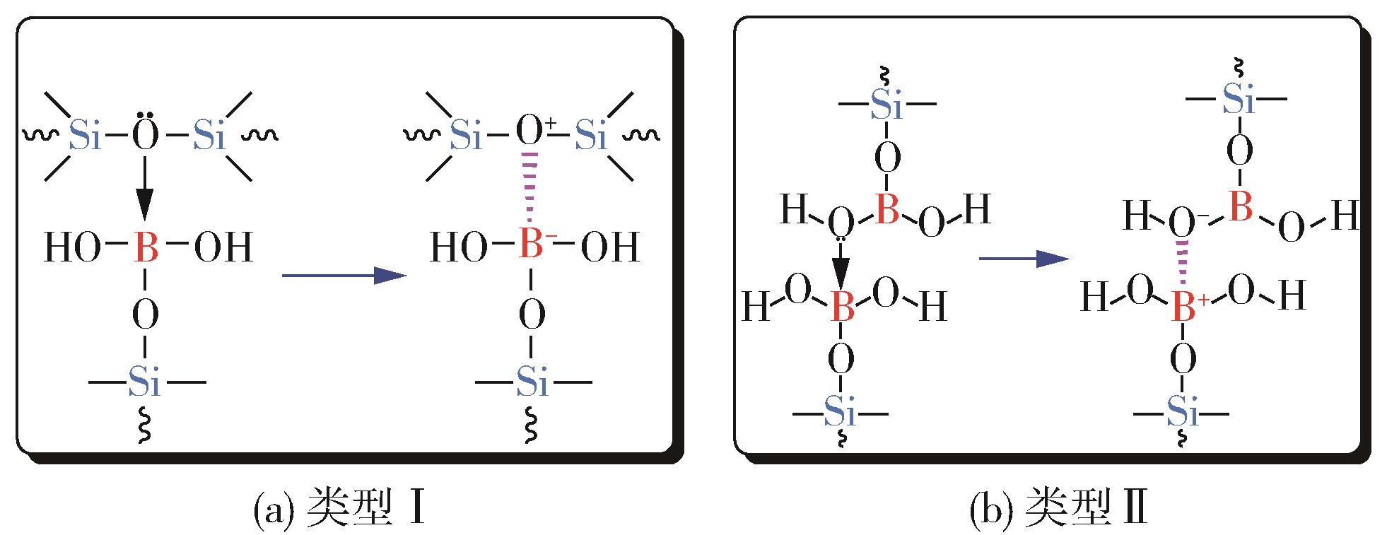
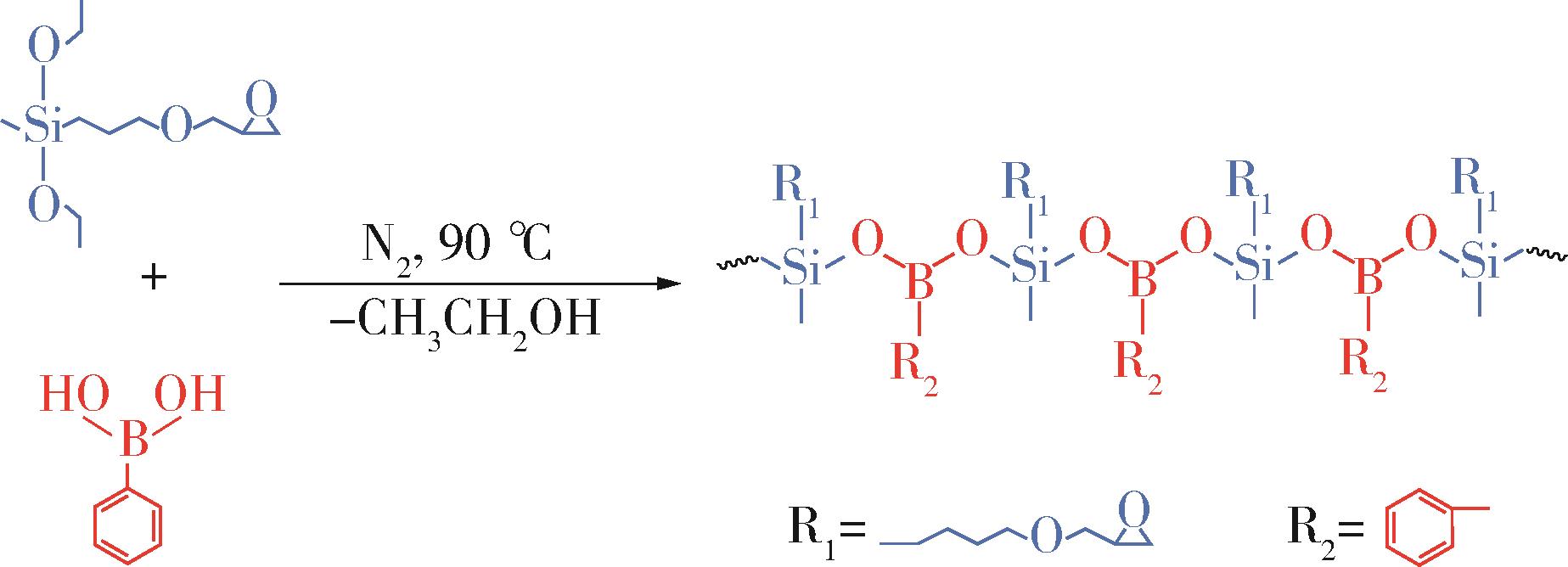
This paper comprehensively reviews recent research advances and developmental trends of polyborosiloxane (PBS) worldwide, with a focus on its synthetic strategies, functional mechanisms, and application progress in multifunctional composites. Finally, the paper proposes future research directions and potential applications of PBS.

Key words: polyborosiloxane, self?healing material, heat?resistant material, flame?retardant composite, composite

CLC Number: